【LIQUID】 阻抗量測(Part 1)-使用Moku頻率響應分析儀量測阻抗應用指南
使用Moku頻率響應分析儀量測阻抗應用指南
在本應用說明中,我們介紹了一些使用Moku設備進行精確阻抗量測的應用例子。在第一部分,我們將探討使用頻率響應分析儀量測電阻的精密估算方法和準確性。在第二部分,我們會再擴展到電感量測的項目。
頻率響應分析儀
Moku頻率響應分析儀(FRA)在Moku輸出端驅動一個掃頻正弦波,同時在Moku輸入端量測接收的信號振幅(或功率)。FRA可以測量一個系統或被測設備(DUT)的傳遞函數,從而產生一個振幅和相位與頻率的關係圖,通常被稱為波德圖 ( Bode plot )。
動力單元
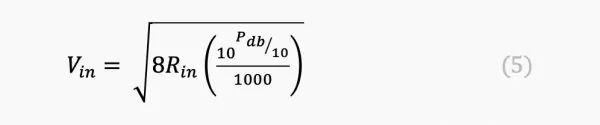
為了量測被測設備的阻抗(Zdut),我們需要了解FRA的功率圖。FRA圖使用的單位是dBm,即相對於1毫瓦(1 mW)的分貝;在這種情況下是一個方便的量測單位。定義為:


Moku FRA的正弦波掃頻輸出可以設置為電壓-伏特(峰-峰)或dBm。我們將使用伏特的輸出。對於一個正弦波,


代入(2)中的Vrms,可以得到


以dBm為單位,按mW縮放,並知道Moku的輸入阻抗為50Ω,則得出:


圖1顯示了使用FRA產生一個1 Vpp的正弦波,Moku輸出1通過直接同軸連接到輸入1。當然,所得到的振幅在整個頻率範圍(0-1kHz)內是平坦的,而且是4.050 dBm,非常接近於計算的3.979 dBm。該差異相當於1.7 mV(或0.17%)。


圖1:在Moku輸入中驅動1Vpp的FRA圖
阻抗
單埠量測:
現在,FRA的功率單元已經明確,我們可以量測一個阻抗。在這第一個例子中,我們將量測一個簡單的10kΩ,10%公差電阻的待測物 ( Rdut )。等效電路是:


圖2:等效電路
注意,Vout是2V,因為這導致50Ω的負載上有1V。Moku FRA的工作頻率高達120MHz,但對於這些電阻測量來說,繪製到40kHz就足夠了。
圖3顯示了Moku FRA的振幅響應=-35.821 dBm的Vin。


圖3:10 kΩ DUT的FRA,單埠
重新排列冪等式(1),並從(4)中代入P,我們可以說:


通過量測Pdb為-35.821 dBm,我們計算出Vin= 10.23 mV。
圖2中Rdut和Moku 50Ω的輸入和輸出的電阻分壓器給我們提供了:


像這樣


求解得到Rdut=9675Ω。
這個電阻的數位電壓表(DVM)呈現讀值顯示為9750Ω。
從這個簡單的單電阻測量中,我們可以得出結論,Moku的精確度在77Ω以內(<1%)。
低阻抗測量:
上述的例子使用了一個標準的10%的公差电阻。我們還可以測量較低的阻抗,達到很高的精度。為此,我們將使用一個100Ω、0.005%公差的高精度電阻。使用上述方法,我們得到一個功率大小的圖(圖4)。


圖4:100Ω,0.005%,單埠的FRA螢幕截圖
將量測的功率-1.972 dBm應用於公式(5)和(7),我們計算出Rdut為98.41Ω。這與已知值一致,但我們可以通過雙埠量測做得更好。
雙埠量測:
為了改進我們的量測,必需考慮到DUT在Moku 50 Ω輸出上的負載。
我們可以通過雙埠量測來實現這一點,即利用Moku的第二個輸入接口來觀察實際應用的信號幅度。圖5顯示了一個使用Moku:Lab的硬體設定實例。


圖5:使用Moku:Lab的雙埠設置
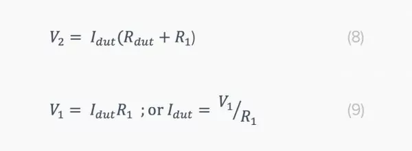
我們可以在圖6中推導出Rdut,從歐姆定律:


將(9)代入(8)


或




圖6:雙埠等效電路
我們用嚴謹的公差100Ω,0.005%的電阻設置了這個雙埠量測,並在圖7中擷取了Moku FRA圖。


圖7:100Ω,雙埠FRA擷取圖
注意,我們使用了FRA的運算通道來產生V2/V1。這在iPad界面上的配置是非常快速和簡單的。
從(10)我們看到,我們可以簡單地從V2:V1的電壓比來計算Rdut。
FRA運算通道計算出的功率比為9.505 dBm,因此電壓比為:


所以我們可以套用圖(10)得到Rdut=99.36Ω。
我們現在可以將這種雙埠的方法應用於原來的10 kΩ/10%的電阻;圖8顯示了FRA的響應。


圖 8:10 kΩ,雙埠量測
使用我們建立的公式,45.856 dBm的功率比給出了Rdut = 9762 Ω的改善結果。
摘要
Moku FRA可用於進行阻抗測量,並確定電阻值,精確度<1%。


雙埠方法允許對DUT進行加載,並且看起來更準確。
在第二部分,我們繼續使用FRA來測量複雜的阻抗、電容和電感,以及更複雜的系統和跨頻率的應用。